Абсолютный характер одновременности

#70863 Evalmer :… обнаружим что событие А (скажем, рождение у человека собственного сына) в ИСО K’ имело место ПОСЛЕ (\(t_A>t_B\)) рождения самого человека, а в ИСО K’’ – сын у человека родился ДО (\(t_A<t_B\)) рождения собственного отца. В чем, тупой от природы дядя Федя усматривает ошибочный характер преобразований Лоренца, заместо того, чтобы признать собственную глупость в исходном утверждении того, что…
\(t_1=t_2\to t'_1\not=t'_2\)
…есть, якобы, обоснование относительного характера одновременности. Именно нелепое исходное положение привело вполне логическим образом к абсурдному выводу. Но ничего иного от ошибочной основы и ожидать не следовало.

#70891 Alex1945 :Меня учебники по СТО убеждают...
… что называют это в СТО относительной одновременностью (ОО).
Если верить вашим учебникам, то получается вот такая ахинея, из которой проистекает целый ряд «неточностей и противоречий» в СТО. Но все эти «недоразумения» устраняются, если то основание, которое в ваших учебниках называют относительной одновременностью (ОО):
\(t_1=t_2\to t'_1\not=t'_2\)
… означает лишь рассинхронизацию часов, при переходе из одной ИСО в другую.

#70867 Alex1945 :Ваша таблица как раз и иллюстрирует то, что в СТО называют относительной одновременностью (ОО).
\(\begin{array}{c|c|c|cc } ИСО&скорость&время~A& время~B \\ \hline K&v=0&7&7\\ \hline K’&v=+0.6c&8&5\\ \hline K’’&v=-0.6c&9.5&12.5\\ \end{array}\)
И где здесь Вы увидели то, что Вы называете абсолютным характером одновременности?
Нет там абсолютной одновременности. Вместо таблицы я приготовил показательную картинку для случая, подобного таблице. На рисунке представлена неподвижная система отсчета K с декартовыми координатами x и t. В расчетах использовались преобразования Лоренца с масштабом с=1. Скорость движущейся системы v=0.6c. На рисунке построены зависимости времени движущейся СО от пространственной координаты x при трех значениях времени t =0, 1, 2 c. Зеленой линией изображена мировая линия движущейся системы. Черной стрелкой показана мировая линия светового луча. Временные оси движущейся СО имеют постоянный наклон с переходом из положительных значений t при отрицательных x к отрицательным значениям в положительной части оси x. В точках x1 и x2 вертикальные линии показывают значения времени t’ в указанных координатах. Горизонтальные линии при разных t демонстрируют постоянство времени в пространстве x неподвижной СО.
Нетрудно видеть, что при постоянном t в разных точках x значения времени движущейся СО всегда различны. В точках пересечения временных осей системы K’ c линиями постоянного t имеет место одновременность событий в движущейся СО. Но эти одновременные события в движущейся СО оказываются не одновременными в неподвижной СО, так как временные оси системы K’ характеризуют разные времена в СО K: черная t=0, красная t=1, синяя t=2. Такая зависимость времени движущейся СО от x говорит о том, что СО K' не эквивалентна СО К и имеет другую систему координат, в которой временная шкала устроена так, что уже при старте показания ее часов (времени) заданы с опережением при отрицательных x с нарастающим отставанием в положительной области пространственной координаты. По-видимому иначе постоянство скорости света обеспечить невозможно.
отредактировал(а) Fedor: 2025-07-05 00:27 GMT

#70904 Fedor :Вместо таблицы я приготовил показательную картинку для случая, подобного таблице.
Не приготовил, а содрал с учебников по СТО. Но понимания того, что учебники полторы тысячи лет писакали о том что Солнце вращается вокруг Земли, как не было, так и нет.

К вопросу замедления времени при движении со скоростью \(v=0.6c\) по часам, расположенным в точке, с координатой: \(x_1=1\)
\(\begin{array}{c|c|c|c|c c } ИСО& время~T_0& время~T_1& время~T_2 & время~T_3&… \\ \hline K& 3&7&11&13&…\\ \hline K’& 3&8& 13& 18&…\\ \end{array}\\ \Delta t=4~~соответствует~~ \Delta t’=5\)
4 часа в ИСО K соответствуют 5 часам ИСО K’ Где тут время течет медленнее, вопрос риторический.

#70288 Fedor :Есть автор этой темы, который путем незаконных манипуляций в формулах преобразований с символами t и t' пытается доказать в рамках теории относительности, что одновременность событий является не относительной, а абсолютной.
Хочу уточнить мое понимание цитаты, высказанное Федором выше. Действительно, автор этой темы, на мой взгляд, правильно понимает, что одновременность может быть только абсолютной (АО) (т. е. полученная при помощи мгновенного сигнала). Однако пытается доказать ее «путем незаконных манипуляций...», т. е. негодными средствами, а самое главное, автор темы почему-то считает, что абсолютная одновременность совместима с СТО, и в своих рассуждениях, доказывая АО, использует ПЛ, в которых во всех работах по СТО преобразование времени трактуется как результат световой синхронизации, обеспечивающий относительную одновременность (ОО) и симметрию релятивиских эффектов?
Хотелось увидеть уточнение автором темы того, что он понимает под абсолютным характером одновременности, если не то, что в физике называют абсолютной одновременностью?

#70838 Evalmer :Наблюдается любопытная ситуация: двое участников форума сходятся со мной во взглядах на абсолютный характер одновременности, но пытаются объяснить его различными способами, исходя, при этом из единой первопричины.
\(t_1=t_2\to t'_1\not=t'_2\)
Fedor усматривает в этом противоречие со своими нелепыми соображульками, на основании чего, тупо объявляет преобразования Лоренца ошибочными.
Alex1945 ради объяснения данного факта (признавая справедливость преобразований Лоренца), пытается воскресить пронафталиненную идею эфира.
И все это вместо того, чтобы просто признать эффект рассинхронизации «часов», при переходе из одной инерциальной системы отсчета в другую.
В других темах я критикую ПЛ, а здесь я лишь обращаю внимание, что сторонники и создатели СТО именно на основании ПЛ доказывали ОО, т. е. отсутствие АО. Вы же используете ПЛ для доказательства именно АО. Но вместо того, чтобы подробно изложить ход Ваших доказательств, т. е. используя схемы и математические модели, заявляете, что изначально все разноместные часы были уже синхронизированы, не указываю каким способом, но намекая/предполагая, что это синхроинизация уже была абсолютная. Поэтому Ваш критерий, выведенный по предварительно абсолютно синхронизированным часам, при правильно проведенном доказательстве, естественно, должен показать, что разноместные часы синхронизированы абсолютно.
Но самая главная ошибка Ваша в том, что Вы, применив свой критерий к одной ИСО, распространяете свои выводы на все ИСО. Хотя тут же утверждаете, есть эффект рассинхронизации «часов» при переходе от одной ИСО к другой, который как раз и означает, что часы, синхронные в одной ИСО, будут несинхронными в другой ИСО, движущейся относительно первой. И как же выглядит после этого Ваше заявление об «абсолютном характере одновременности»? В чем же Вы видите «абсолютный характер одновременности»?

#70932 Alex1945 :одновременность может быть только абсолютной (АО) (т. е. полученная при помощи мгновенного сигнала). Однако пытается доказать ее «путем незаконных манипуляций...», т. е. негодными средствами
Во-первых: «при помощи мгновенного сигнала» работают преобразования Галлилея, а не Лоренца. И не ясно почему преобразования Лоренца вы именуете «негодными средствам».

#70932 Alex1945 :
Хотелось увидеть уточнение автором темы того, что он понимает под абсолютным характером одновременности
Очень жаль что вам опять «не удалось заслушать доклад начальника транспортного цеха»!
Еще раз повторяю: «Абсолютный характер одновременности двух событий означает только то, что если эти события произошли одновремено в одной ИСО, то они будут одновременными также и во всех остальных ИСО».
отредактировал(а) Evalmer: 2025-07-06 16:51 GMT

#70936 Alex1945 :главная ошибка Ваша в том, что Вы, применив свой критерий к одной ИСО, распространяете свои выводы на все ИСО
Для тех кто по ошибке не понял математическую логику доказательства абсолютного зарактера одновременности разноместных событий, привожу ее пошаговое описание:
1) Условия одновременности: \(t_1=t_2\) эквивалентны формулировке: \(\displaystyle t_3=t_1+{x_2-x_1\over c}\)
2) Это формула инвариантна по отношению к преобразования Лоренца: \(\displaystyle t_3=t_1+{x_2-x_1\over c} ~~\to~~t'_3=t'_1+{x'_2-x'_1\over c}\)
3) Формула: \(\displaystyle t'_3=t'_1+{x'_2-x'_1\over c}\) эквивалентна условию одновременности: \(t'_1=t'_2\)
Какой из этапов доказательства абсолютного характера одновременности вам непонятен?

#70958 Evalmer :#70936 Alex1945 :главная ошибка Ваша в том, что Вы, применив свой критерий к одной ИСО, распространяете свои выводы на все ИСОДля тех кто по ошибке не понял математическую логику доказательства абсолютного зарактера одновременности разноместных событий, привожу ее пошаговое описание:
1) Условия одновременности: \(t_1=t_2\) эквивалентны формулировке: \(\displaystyle t_3=t_1+{x_2-x_1\over c}\)
2) Это формула инвариантна по отношению к преобразования Лоренца: \(\displaystyle t_3=t_1+{x_2-x_1\over c} ~~\to~~t'_3=t'_1+{x'_2-x'_1\over c}\)
3) Формула: \(\displaystyle t'_3=t'_1+{x'_2-x'_1\over c}\) эквивалентна условию одновременности: \(t'_1=t'_2\)
Какой из этапов доказательства абсолютного характера одновременности вам непонятен?
Непонятно почему оба равенства t1 = t2 и t'1 = t'2 должны выполниться при одной паре событий.

#70958 Evalmer :#70936 Alex1945 :главная ошибка Ваша в том, что Вы, применив свой критерий к одной ИСО, распространяете свои выводы на все ИСОДля тех кто по ошибке не понял математическую логику доказательства абсолютного зарактера одновременности разноместных событий, привожу ее пошаговое описание:
1) Условия одновременности: \(t_1=t_2\) эквивалентны формулировке: \(\displaystyle t_3=t_1+{x_2-x_1\over c}\)
2) Это формула инвариантна по отношению к преобразования Лоренца: \(\displaystyle t_3=t_1+{x_2-x_1\over c} ~~\to~~t'_3=t'_1+{x'_2-x'_1\over c}\)
3) Формула: \(\displaystyle t'_3=t'_1+{x'_2-x'_1\over c}\) эквивалентна условию одновременности: \(t'_1=t'_2\)
Какой из этапов доказательства абсолютного характера одновременности вам непонятен?
Это не доказательства, а голословные утверждения!
Приведите расчетную схему, исходные условия и последовательность промежуточных вычислений, хотя бы для первого этапа, где Вы утверждаете, что \(t_1=t_2\) эквивалентны формулировке: \(\displaystyle t_3=t_1+{x_2-x_1\over c}\).
А там посмотрим, насколько Вы будете убедительны, для того чтобы перейти на следующие этапы.

#70965 Alex1945 :Приведите расчетную схему, исходные условия и последовательность промежуточных вычислений, хотя бы для первого этапа, где Вы утверждаете, что \(t_1=t_2\) эквивалентны формулировке: \(\displaystyle t_3=t_1+{x_2-x_1\over c}\).
Значит-таки нет понимания даже на первой этапе расчетов.
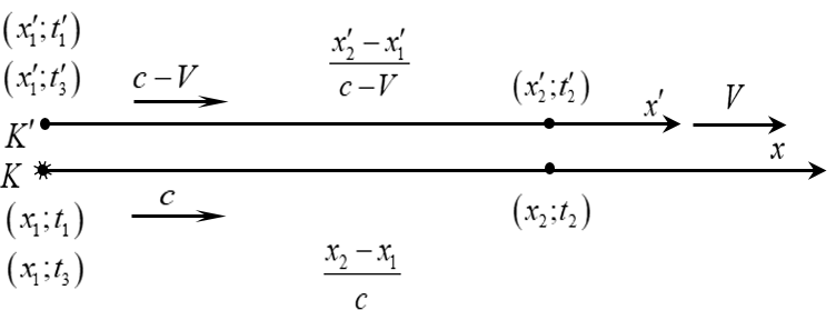
Хорошо. Имеем два события: №1(\(x_1;~t_1\)) и №2(\(x_2;~t_2\)), сигнал от свершения которого (события №2) достигает точки наблюдения (\(x_1\)) в момент времени:
\(\displaystyle t_3=t_2+{x_2-x_1\over c}\)
И это — есть «контрольное» событие №3(\(x_1;~t_3\)) В том случае, если события №1 и №2 (в разных точках пространства: \(x_1\not =x_2\)) произошли одновременно, то есть: \(t_1=t_2\) (а именно этот случай нас и интересует), то:
\(\displaystyle t_3=t_2+{x_2-x_1\over c}~~\to~~t_3=t_1+{x_2-x_1\over c}\)
Сие и означает, что из выполнения равенства: \(t_1=t_2\) следует равенство: \(\displaystyle t_3=t_1+{x_2-x_1\over c}\)
Еще вопросы по первому этапу вычислений имеются?

#70968 Evalmer :#70965 Alex1945 :Приведите расчетную схему, исходные условия и последовательность промежуточных вычислений, хотя бы для первого этапа, где Вы утверждаете, что \(t_1=t_2\) эквивалентны формулировке: \(\displaystyle t_3=t_1+{x_2-x_1\over c}\).
Значит-таки нет понимания даже на первой этапе расчетов.
Хорошо. Имеем два события: №1(\(x_1;~t_1\)) и №2(\(x_2;~t_2\)), сигнал от свершения которого (события №2) достигает точки наблюдения (\(x_1\)) в момент времени:
\(\displaystyle t_3=t_2+{x_2-x_1\over c}\)
И это — есть «контрольное» событие №3(\(x_1;~t_3\)) В том случае, если события №1 и №2 (в разных точках пространства: \(x_1\not =x_2\)) произошли одновременно, то есть: \(t_1=t_2\) (а именно этот случай нас и интересует), то:
\(\displaystyle t_3=t_2+{x_2-x_1\over c}~~\to~~t_3=t_1+{x_2-x_1\over c}\)
Сие и означает, что из выполнения равенства: \(t_1=t_2\) следует равенство: \(\displaystyle t_3=t_1+{x_2-x_1\over c}\)
Еще вопросы по первому этапу вычислений имеются?
Не понял как Вы переходите для двух событий №1(\(x_1;~t_1\)) и №2(\(x_2;~t_2\)), от своего критерия для ИСО К, к критерию для ИСО К'?
Получается, что Вы втихаря используете второй постулат СТО о инвариантности скорости света?! Не понял, если не принять второй постулат СТО и относительную одновременность, то и Ваши критерии работать не будут?

Отошлите своб «Веселую Картинку» в журнал «Мурзилка» — ей там само место будет, ибо: \(c\pm V=c\) Это, во-первых.
Во-вторых: я говорю об инвариантности по отношению к преобразованиям Лоренца, скорости света, вовсе не «втихаря», а вполне открыто. Поскольку — эго есть основа преобразований Лоренца.
В-третьих: второй постулат СТО и относительность одновременности — это две большие разности, как говорили когда-то в Одессе. Ибо, относительностью одновременности вы обзываете банальную рассинхронихацию показаний своих пресловутых часов.
И последнее: для двух событий №1(x1; t1) и №2(x2; t2) я перехожу «от своего критерия для ИСО К, к критерию для ИСО К' » на втором и третьем шагах этого доказательства. По второму шагу...
\(\displaystyle t_3=t_1+{x_2-x_1\over c} ~~\to~~t'_3=t'_1+{x'_2-x'_1\over c}\)
… вопросы есть?

#71018 Evalmer :В-третьих: второй постулат СТО и относительность одновременности — это две большие разности, как говорили когда-то в Одессе. Ибо, относительностью одновременности вы обзываете банальную рассинхронихацию показаний своих пресловутых часов.
Если часы в неподвижной ИСО К были синхронизированы так, что \(t_1=t_2\), то их никто не пересинхронизировал перед тем, как взглянуть из другой ИСО К'. Поэтому взгляд на часы \(t_1, t_2\) не изменит их показания, а только укажет, что в ИСО К' эти часы оказались несинхронными. Можете называть относительную одновременность в СТО банальной рассинхронизацией, если Вас не устраивает терминология, принятая в СТО. Лично я не вижу практической пользы от такого уточнения.
Может, поясните, что полезного Вы хотите получить от такого уточнения?

Когдв вы вертолет называете апельсином, а вам объясняют что апельсин — это вовсе не вертолет, а нечто совсем даже инное, то это называется не уточнением, а размежеванием двух понятий.

#71042 Evalmer :Когдв вы называете вертолет апельсином, а вам объясняют что апельсин — это вовсе не вертолет, а нечто совсем даже инное, то это называется не уточнением, а размежеванием двух понятий.
Так какую практическую пользу для науки Вы хотите извлечь из размежевания понятий «относительная одновременность» и «рассинхронизация часов» при переходе в другую ИСО?

Очень «практическая» польза в понимании того, что одновременность событий носит абсолютный, а не относительный характер, заключается в возможности пересмотра ряда выводов как Специальной, так и Общей Теории Относительности.

#71044 Evalmer :Очень «практическая» польза в понимании того, что одновременность событий носит абсолютный, а не относительный характер, заключается в возможности пересмотра ряда выводов как Специальной, так и Общей Теории Относительности.
Ваше предложение пересмотреть ряд выводов СТО при сохранении световой синхронизации разноместных часов бессмысленно, так как часы, синхронные в одной ИСО, в другой, движущейся относительно первой, будут несинхронными, а абсолютная одновременность требует, чтобы часы, синхронные в одной ИСО, оставались синхронными во всех других ИСО, т. е. не зависели от ИСО.

#71055 Alex1945
: абсолютная одновременность требует, чтобы часы, синхронные в одной ИСО, оставались синхронными во всех других ИСО
Ничем не обоснованное (взятое с потолка) заявление, поскольку проблема одновременности событий и проблема синхронизации часов связаны между собою не более чем вертолет с апельсином.

#71056 Evalmer :#71055 Alex1945: абсолютная одновременность требует, чтобы часы, синхронные в одной ИСО, оставались синхронными во всех других ИСОНичем не обоснованное (взятое с потолка) заявление, поскольку проблема одновременности событий и проблема синхронизации часов связаны между собою не более чем вертолет с апельсином.
Не надо свои заблуждения выдавать за СТО! Я говорю о Вашем заявлении, что проблемы одновременности событий в СТО никак не связаны с синхронизацией разноместных часов световым сигналом, но именно эту связь одновременности со световой синхронизацией и ставят в заслугу Эйнштейна при создании СТО. А мои возражения взяты не с потолка, а из учебников по физике, например, учебника И. Е. Иродова «Механика. Основные законы».
Если Вас интересует мое личное мнение, то я считаю, что одновременность может быть только абсолютной, т. е. эквивалентной синхронизации мгновенным сигналом. Но если Вы отказались от относительной одновременности, то Вы отказались и от СТО с ее фундаментальным ПО и разного рода недоразумениями и противоречиями (парадоксами).

#71058 Alex1945 :мои возражения взяты не с потолка, а из учебников по физике, например, учебника И. Е. Иродова «Механика. Основные законы».
Не будем полагаться на утверждения, дарованные нам свыше. В том числе и учебником какой-то там И. Е. Иродовой «Механика. Основные законы». А пойдем простым путем логических рассуждений и разместим в каждой ИСО собственную пару часов. После чего синхронизируем (каким угодно способом) в произвольный момент времени каждую пару часов, совершенно независимым образом. К примеру, так:
\(\begin{array}{|c| c| c| c| }\hline часы& ИСО&местоположение&показание\\ \hline№ 1&K&x_1=1&4\\\hline №2&K&x_2=5&4\\\hline №3&K’&x’_1=f(x_1)&7\\\hline №4&K’&x’_2=f(x_2)&7\\\hline\end{array}\)
Возражения есть?
отредактировал(а) Evalmer: 2025-07-10 08:00 GMT

Поскольку возражений нет, я продолжу… Относительно ИСО К движется (со скоростью: \(v=0.6c\)) ИСО К’ Под места нахождения часов у нас задействованы точки х1=1 и х2=5. Соответственно этому: х’1 и х’2
1) Часы №1 и №2 находятся и синхронизированы в ИСО К и каждый час (\(\Delta t=1\) час) кукушки на них кукукают.
2) Часы №3 и №4 находятся и синхронизированы в ИСО К’ но «шагают в ногу» в своем темпе кукуканья: \(\Delta t’=\Delta t\cdot 0.8=0.8\) часа
3) Часы №1’ и №2’ показывают рассинхронизированное в ИСО К’ время часов №1 и №2 по формуле:\(\displaystyle t'= {t-xv/c^2\over\sqrt{1-v^2/c^2}}\) но идут, при этом «в ногу», в темпе кукуканья: \(\Delta t’’=\Delta t/ 0.8=1.25\) часа
\(\begin{array}{|c|c|c|c|c|c|c| }\hline ку{-}ку& часы~№1& часы~№2& часы~№3& часы~№4& часы~№1’& часы~№2’\\ \hline 0&4&4&7&7&4.25&1.25\\\hline 1&5&5&7.8&7.8&5.5&2.5\\\hline 2&6&6&8.6&8.6&6.75&3.75\\\hline 3&7&7&9.4&9.4&8&5 \\… \end{array}\)
По показаниям часов данной таблицы кукования, вопросы есть? С учетом того, что никаких событий не происходит. Просто часы мирно тикают, а кукушки на часах спокойно кукуют. И ничего более.
отредактировал(а) Evalmer: 2025-07-10 15:29 GMT

#71061 Evalmer :#71058 Alex1945 :мои возражения взяты не с потолка, а из учебников по физике, например, учебника И. Е. Иродова «Механика. Основные законы».Не будем полагаться на утверждения, дарованные нам свыше. В том числе и учебником какой-то там И. Е. Иродовой «Механика. Основные законы».
В скане из учебника описана СТО, а какую теорию Вы собираетесь уточнять: СТО или какую-то другую теорию? Может, ТЭЛ или СЭТ, или свою новую теорию?
А пойдем простым путем логических рассуждений и разместим в каждой ИСО собственную пару часов. После чего синхронизируем (каким угодно способом) в произвольный момент времени каждую пару часов, совершенно независимым образом. К примеру, так:
\(\begin{array}{|c| c| c| c| }\hline часы& ИСО&местоположение&показание\\ \hline№ 1&K&x_1=1&4\\\hline №2&K&x_2=5&4\\\hline №3&K’&x’_1=f(x_1)&7\\\hline №4&K’&x’_2=f(x_2)&7\\\hline\end{array}\)
Возражения есть?
Поскольку я не знаком с Вашей теорией, то хотелось бы убедиться, что часы в К и в К' показывают одинаковое время, соответственно, в К и К' именно в свой момент. То есть хотелось бы ознакомиться с способом синхронизации, обеспечивающим эти показания часов для каждой ИСО именно в заданный момент. Релятивисты утверждают, что в физике Ньютона этому вопросу не уделяли должного внимания. И только Эйнштейн заставил рассмотреть этот вопрос с практической точки зрения, т. е. предложил синхронизацию световым сигналом по методике СТО, который, к сожалению, обеспечивает только относительную одновременность. В дальнейшем все проблемы рассматривались именно с этой точки зрения.
Поэтому, чтобы продолжить дальнейшие обсуждения Вашей идеи, опишите свои методы синхронизации, которые действительно обеспечивают полученную Вами синхронизацию именно в любой произвольный момент. А то у Вас получается, что любой способ синхронизации обеспечивает абсолютную одновременность, а с этим не согласятся не только релятивисты.
отредактировал(а) Alex1945: 2025-07-10 21:16 GMT

#71073 Alex1945 :опишите свои методы синхронизации
Меня устраивают любые ваши методы синхронизации, позволяющие запустить двое часов в любой ИСО одновременно и с одинаковыми показаниями.
\(\begin{array}{|c| c| c| c| }\hline ИСО& часы& местоположение &показание\\ \hline K& № 1& x_1=1&3\\\hline K& №2& x_2=5&3\\\hline K’& №3 &x’_1=f(x_1)&11\\\hline K’& №4& x’_2=f(x_2)&11\\\hline\end{array} \)
Вы получили свою синхронизацию по двум ИСО — я могу продолжать?
отредактировал(а) Evalmer: 2025-07-10 16:24 GMT

#71071 Evalmer :Поскольку возражений нет, я продолжу… Относительно ИСО К движется (со скоростью: \(v=0.6c\)) ИСО К’ Под места нахождения часов у нас задействованы точки х1=1 и х2=5. Соответственно этому: х’1 и х’2
То есть Вы \(x'_1 \) и \(x'_2\) рассчитываете по формулам ПЛ - \(x'_i=\gamma(x_i-Vt)\).
1) Часы №1 и №2 находятся и синхронизированы в ИСО К и каждый час (\(\Delta t=1\) час) кукушки на них кукукают.
То есть часы №1 и №2 в ИСО К идут синхронно и в одном темпе (тикают с одинаковой частотой).
2) Часы №3 и №4 находятся и синхронизированы в ИСО К’ но «шагают в ногу» в своем темпе кукуканья: \(\Delta t’=\Delta t\cdot 0.8=0.8\) часа
То есть часы №3 и №4 в ИСО К' идут синхронно и в одном темпе (но тикают с другой частотой, чем часы ИСО К).
3) Часы №1’ и №2’ показывают рассинхронизированное в ИСО К’ время часов №1 и №2 по формуле:\(\displaystyle t'= {t-xv/c^2\over\sqrt{1-v^2/c^2}}\) но идут, при этом «в ногу», в темпе кукуканья: \(\Delta t’’=\Delta t/ 0.8=1.25\) часа
Вот тут Вы вышли из СТО и ТЭЛ и рассуждаете в рамках СЭТ (Теории стационарного эфира), в которой исползуются преобразования Тангерлини (ПТ), где \(t'=\frac{t}{\gamma}=\frac{t}{1.25}\). В СТО отрезок времени в ИСО К' определяется как разница показаний часов \(\Delta t'=t'_2-t'_1=\gamma \frac{t_2-x_2 V}{c^2}-\gamma \frac{t_1-x_1 V}{c^2}\). И только после преобразований будет получен окончательный результат \(\Delta t'=\frac{\Delta t}{\gamma}=\Delta t\sqrt{1-\frac{V^2}{c^2}}\).
\(\begin{array}{|c|c|c|c|c|c|c| }\hline ку{-}ку& часы~№1& часы~№2& часы~№3& часы~№4& часы~№1’& часы~№2’\\ \hline 0&4&4&7&7&4.25&1.25\\\hline 1&5&5&7.8&7.8&5.5&2.5\\\hline 2&6&6&8.6&8.6&6.75&3.75\\\hline 3&7&7&9.4&9.4&8&5 \\… \end{array}\)
По показаниям часов данной таблицы кукования, вопросы есть? С учетом того, что никаких событий не происходит. Просто часы мирно тикают, а кукушки на часах спокойно кукуют. И ничего более.
Если часы обеих ИСО мирно тикают с постоянной своей частотой, то, следовательно, \(\gamma =1,25=const\) , т. е. их первоначальная одновременность должна сохраняться! А сохраняется ли она в Вашей таблице? Ведь в любой момент времени соотношение мгновенных значений времени в совпадающих точках (\(x_1\) с \(x'_1\), а \(x_2\) с \(x'_2\)) должны оставаться неизменными.
Некоторые подробности сказанного мной выше есть в теме Зачем физике преобразования Лоренца (ПЛ) .
отредактировал(а) Alex1945: 2025-07-10 21:26 GMT

#71075 Evalmer :#71073 Alex1945 :опишите свои методы синхронизации
Меня устраивают любые ваши методы синхронизации, позволяющие запустить двое часов в любой ИСО одновременно и с одинаковыми показаниями.
\(\begin{array}{|c| c| c| c| }\hline ИСО& часы& местоположение &показание\\ \hline K& № 1& x_1=1&3\\\hline K& №2& x_2=5&3\\\hline K’& №3 &x’_1=f(x_1)&11\\\hline K’& №4& x’_2=f(x_2)&11\\\hline\end{array} \)
Вы получили свою синхронизацию по двум ИСО — я могу продолжать?
Вы можете продолжить, когда докажите, что любой метод синхронизации, позволяющий запустить пару часов в любой ИСО одновременно с одинаковыми показаниями, подходит для СТО. Ведь то, что подходит для СТО, не подходит для ТЭЛ, СЭТ и КФ, в которых одновременность абсолютная (АО), в отличие от СТО, где одновременность относительная (ОО).
Если Вы взялись уточнять СТО, то Вам достаточно доказать, что одновременность в СТО носит абсолютный характер, т. е. световая синхронизации в СТО — это неправильно, с вашей точки зрения.
Если Вы отказались от СТО с ее ОО, то для других теорий Вы должны предъявить способ синхронизации, обеспечивающий АО.

#71076 Alex1945 :
Вот тут Вы вышли из СТО
Для того, чтобы выйти из СТО, туда сначала необходимо было бы как-то войти. А я, пока, не выходил даже из преобразований Лоренца.
Если Вы отказались от СТО
Я не отказался от СТО — я еще даже ее не трогал.
Так что, прекращайте бегать поперед паровоза и просто скажите: с вашей пресловутой синхронизацией мы закончили, или нет?

#71078 Evalmer :#71076 Alex1945 :Вот тут Вы вышли из СТОДля того, чтобы выйти из СТО, туда сначала необходимо было бы как-то войти. А я, пока, не выходил даже из преобразований Лоренца.
То есть Вы намекаете на какую-то другую теорию. Наверное, на Вашу? Тогда Вы должны ее для начала представить поподробнее.
Если Вы отказались от СТОЯ не отказался от СТО — я еще даже ее не трогал.
Тогда жду подробного изложения Вашей теории. А гадать, что Вы там придумали, у меня нет времени.
Так что, прекращайте бегать поперед паровоза и просто скажите: с вашей пресловутой синхронизацией мы закончили, или нет?
Это Вы утверждаете априори, что все синхронизации обеспечивают абсолютную одновременность. А голословное утверждение в науке не является бесспорным доказательством.


