Разъяснить задачу, она уже решена!

Здраствуйте и сразу простите за большую картинку, не знал как уменьшить
Эта задача уже решена!!! Это пример из задачника который я разбираю что бы понять как она решается, что бы сделать задачу которая задается дальше.
Вот есть большая просьба, помогите понять что откуда берется и как решаеться, я сам что знаю написал обвел выделил, но дальше голову уже ломаю
Я Физику и математику со школы не дружу, а щас надо позарез вот и разбираюсь, кто может помогите в разъяснение уже готовой задаче.


Если хочешь, чтобы тебе объяснили решение задачи, надо прилагать и условие задачи.
Если ни то, ни другое, ни третье не помогает, прочтите, наконец инструкцию.

3361 сообщенийhttp://alexandr4784.narod.ru/
Откуда: Псков
Кто: книгоиздательство
Надо полагать, что два заряда размещаются в вакууме и в керосине так, что сила их взаимодействия одинаковая.
Используем закон Кулона
\(F=\frac{1}{4\pi\varepsilon_0}\frac{q_1q_2}{\varepsilon{r^2}}=k\frac{q_1q_2}{\varepsilon{r^2}}\)
где
\(k=\frac{1}{4\pi\varepsilon_0}=9\cdot{10}^9\) ф/м
Далее
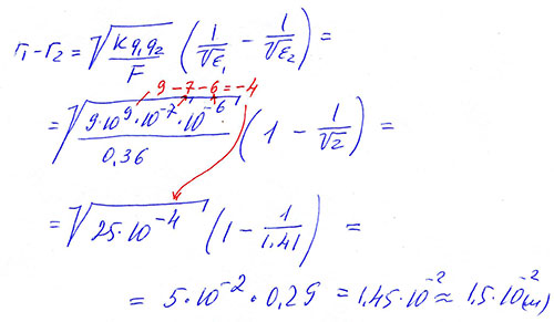
\(r_1-r_2=\sqrt{\frac{kq_1q_2}{\varepsilon_1{F}}}-\sqrt{\frac{kq_1q_2}{\varepsilon_2{F}}}=\sqrt{\frac{kq_1q_2}{F}}(\frac{1}{\sqrt\varepsilon_1}-\frac{1}{\sqrt\varepsilon_2})\)
Подставляйте в последнюю формулу числа и считайте.
отредактировал(а) iskander: 2015-04-22 15:08 GMT

Лаборант
Извините как то просто не подумал о задаче самой.


3361 сообщенийhttp://alexandr4784.narod.ru/
Откуда: Псков
Кто: книгоиздательство
Текст задачи не соответствует разделу "Дано": неверно указан второй заряд. Если брать данные самой задачи - все сходится.

Ответ правильный: примерно 1,5 см.
Если ни то, ни другое, ни третье не помогает, прочтите, наконец инструкцию.

Я понимаю что задача правельная и все там как надо, но я не понимаю откуда этот чертов ответ береться, я пытаюсь разобрать это решение полностью с пунктом как все считалось но чета считаю и не фига не выходит.

Напиши сюда свои значения и я найду тебе ошибку.
r1-r2=
Если ни то, ни другое, ни третье не помогает, прочтите, наконец инструкцию.

3361 сообщенийhttp://alexandr4784.narod.ru/
Откуда: Псков
Кто: книгоиздательство


