эффекте Комптона через преобразования Лоренца

Здравствуйте, помогите пожалуйста.
Задачка по физике:
"Определить угол θ, на который был рассеян квант с энергией ε1 = 1,53 МэВ при эффекте Комптона, если кинетическая энергия электрона отдачи Т=0,51 МэВ."
Решал задачку через закон сохранения энергии, а преподаватель проверил и написал:
"Ошибка! Решение полностью неправильное. Налетающий фотон имеет энергию, втрое большую энергии покоя электрона. Фотон может быть поглощён электроном только целиком. Тогда электрон станет релятивистской частицей и его импульс и энергию нужно записывать через преобразования Лоренца. Задача решена по законам классической физики."
Как я понял нужно воспользоваться формулой Комптона:
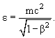
e2 находим через преобразования Лоренца по формуле:
где β = v/c
мне не известна "v", если учитывать что релятивистская частица имеет скорость света, то "с" тоже это скорость света и получается, что делим на ноль.
Я не знаю может мая логика, совершена не правильна, но так я вижу решение задачи.
Помогите пожалуйста заранее спасибо!!!
отредактировал(а) Владимир1234: 2014-03-17 18:46 GMT


20303-1395065143_xuxbx2.bmp