Теплоёмкость
Автор
Сообщение

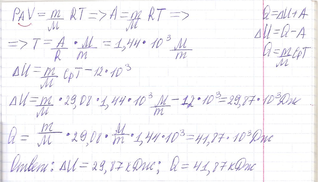
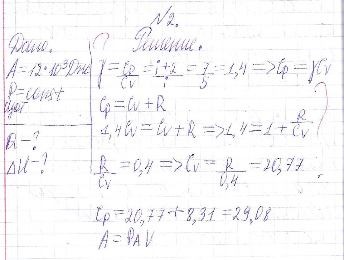
Задача:
данное моё решение неверно:

Подскажите пожалуйста,в чём ошибка

3361 сообщенийhttp://alexandr4784.narod.ru/
Откуда: Псков
Кто: книгоиздательство
При сжатии газа, работу совершают над газом и она (работа) отрицательная, при расширении газа - работу совершает сам газ и работа положительная.

благодарна)))))))))))))))))))
