Проводник с током 4А и длиной 1м согнут в виде квадрата
Автор
Сообщение

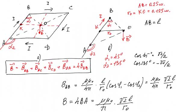
Проводник с током 4А и длиной 1м согнут в виде квадрата. Определить индукцию и напряженность магнитного поля в точке пересечения диагоналей квадрата. Решение пояснить чертежом.

3361 сообщенийhttp://alexandr4784.narod.ru/
Откуда: Псков
Кто: книгоиздательство

Из рисунка ясно, что поля от каждой из сторон будут одинаковы по величине и направлению, более подробно см. http://alexandr4784.narod.ru/Detlaf_2.htm § 15.2. Магнитное поле прямолинейного проводника с током
