лаба по дифракционной решетке.
предлагаю совместно удаленно выполнить лабораторную работу по измерению длины волны красного лазера с помощью дифракционной решетки. Оборудование.
300 штрихов на мм.
Расстояние до экрана 20 см.
расстояние между максимумами 10 мм.
Вычислить длину волны света.
Правильно?
При дифракционной решетке 600 штрихов на мм длина волны красного лазера получилась 56 нм. В чем подвох?
отредактировал(а) zhyks: 2026-01-29 13:55 GMT
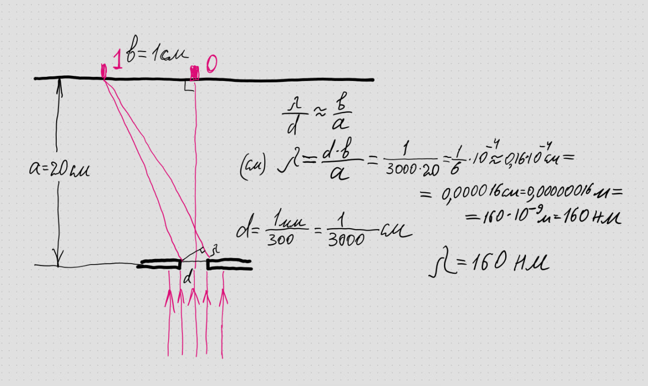
это при 600 штрихах на мм. Как считать длину волны?

#74039 zhyks :
![]()
Правильно?
Почти.
\(sin\varphi_1=\frac{3}{2}\frac{\lambda}{d}\simeq \frac{b}{a} \\\lambda\simeq \frac{2}{3}\frac{db}{a}\)
https://online.mephi.ru/courses/physics/optics/data/course/5/5.4.html https://online.mephi.ru/courses/physics/optics/data/course/5/5.4.html
отредактировал(а) zam: 2026-02-06 19:07 GMT

#74056 zhyks :
![]()
это при 600 штрихах на мм. Как считать длину волны?
У вас угол первого максимума равен \(\varphi_1=arctg\frac{7\;mm}{200\;mm}=2^\circ \) .
Длина волны излучения красной лазерной указки 560 нм.
Такой результат получается, если диффракционная решётка имет 60 штрихов на миллиметр.
В этом можно убедиться при помощи онлайн-калькулятора: https://www.calctool.org/waves/diffraction#how-to-calculate-the-diffraction-angles-in-a-diffraction-grating .
#74064 zam :У вас угол первого максимума равен \(\varphi_1=arctg\frac{7\;mm}{200\;mm}=2^\circ \) .
Длина волны излучения красной лазерной указки 560 нм.
Такой результат получается, если диффракционная решётка имет 60 штрихов на миллиметр.
В этом можно убедиться при помощи онлайн-калькулятора: https://www.calctool.org/waves/diffraction#how-to-calculate-the-diffraction-angles-in-a-diffraction-grating .
Предлагаю убедиться при помощи дифракционной решетки. (попробуйте приобрести в инете дифрешетку или попросить на время у знакомого учителя физики и лазерную указку в фикспрайс за 62 рубля)
.В учебники физики и инет вкралась нереальная теория по дифрешетке из-за того, что предполагалось, что темные штрихи на ней (дифрешетке) имеют несущественные малые размеры по сравнению с прорезями. А это не так. Шаг решетки d здесь не применим. Щель и полоска соизмеримы, часто примерно равны. Работает только ширина щели.
Ричард Фейнман считал двухщелевой опыт (опыт Юнга) ключевым экспериментом, в котором «содержится вся суть квантовой механики» и ее главная тайна.

#74067 zhyks :Предлагаю убедиться при помощи дифракционной решетки. (попробуйте приобрести в инете дифрешетку или попросить на время у знакомого учителя физики и лазерную указку в фикспрайс за 62 рубля)
У нас в институте была такая лабораторная работа. Только вместо лазера сильная лампа и набор светофильтров. И всё получалось.
В учебники физики и инет вкралась нереальная теория по дифрешетке из-за того, что предполагалось, что темные штрихи на ней (дифрешетке) имеют несущественные малые размеры по сравнению с прорезями. А это не так. Шаг решетки d здесь не применим. Щель и полоска соизмеримы, часто примерно равны. Работает только ширина щели.
И когда же вкралась эта ошибка? Это явление описано в 1673 году (дифракция на птчьих перьях). Теорию разработал Френель в 1818 году. И вы считаете, что за 200 лет никто не заметил несоответствия теории результатам экспериментов?
Всё гораздо проще. Решёка, на которой написано «300 штрихов на мм», на самом деле имеет 60 штрихов на мм. Элементарно, чем больше штрихов, тем дороже решётка. Вас продавец надул в 5 раз.
Ричард Фейнман считал двухщелевой опыт (опыт Юнга) ключевым экспериментом, в котором «содержится вся суть квантовой механики» и ее главная тайна.
А читали вы его книгу «СЭД. Странная теоря света вещества»? Там очень много про дифракционные решётки.
#74070 zam :
Всё гораздо проще. Решёка, на которой написано «300 штрихов на мм», на самом деле имеет 60 штрихов на мм. Элементарно, чем больше штрихов, тем дороже решётка. Вас продавец надул в 5 раз.
Да. Похоже все встает на свои места при повороте решетки на 180 град.
Буду еще смотреть. Вопросы остались.
+
перевернул пленку со штрихами — все заработало как надо.
отредактировал(а) zhyks: 2026-01-31 19:05 GMT

#74084 zhyks :перевернул пленку со штрихами — все заработало как надо.
У вас свойства решётки зависят от того, с какой сороны её освещают? У решётки есть лицевая и обратная сторона? Я таких не встречал.
#74070 zam :А читали вы его книгу «СЭД. Странная теоря света вещества»? Там очень много про дифракционные решётки.
Там опечатка.Не СЭД, а КЭД — квантовая электродинамика.

#74088 zhyks :повернул на 180 град. относительно нормали (перпендикуляра) к пленке.
А если повернуть указку на 180 градусов?
#74089 zam :А если повернуть указку на 180 градусов?
скажем проще. Теперь надпись на дифрешетке правильная. Соответствует .
И формула для для штриха решетки выполняется точно.
#74086 zam :#74070 zam :А читали вы его книгу «СЭД. Странная теоря света вещества»? Там очень много про дифракционные решётки.
Там опечатка.Не СЭД, а КЭД — квантовая электродинамика.
к сожалению там только объясняется, почему грампластинка на солнечном свете играет цветами радуги в зависимости от угла падения света. Надо перенести это на
-полоску, щель, две щели, дифрешетку и наконец дифрешетку с разными пропорциями полоски и щели? Хотя в основе дифракция от границы полуплоскоти. Кстати, одинаковая в обе стороны.
Принцип Бабине в физике гласит, что дифракционные картины от двух взаимно дополнительных объектов (например, щели и непрозрачного диска той же формы, или тонкой проволоки и щели такой же ширины) идентичны за исключением центрального максимума, где интенсивность света для одного объекта суммируется с интенсивностью для другого, образуя полное отсутствие света при их совмещении (в идеале).
А дифракция от полуплоскости, то есть от границы лезвия? (фото за мной.Есть в другой теме). Именно она -источник когерентных волн, подверженных наблюдаемой на экране интерференции. Как то так.
+
а что будет при равенстве ширины полосы и щели дифрешетки?
отредактировал(а) zhyks: 2026-02-03 12:53 GMT
как известно рыболовная леска часто не соответствует написанному на ней диаметру. Так с помощью лазерной указки можно попробовать замерять ее диаметр. С расстояния до экрана метра 3 должно получиться. Используя квантовую механику.

#74098 zhyks :Теперь надпись на дифрешетке правильная. Соответствует .
Так почему же картина меняется при повороте решётки?

#74108 zhyks :Так с помощью лазерной указки можно попробовать замерять ее диаметр. С расстояния до экрана метра 3 должно получиться. Используя квантовую механику.
Квантовая физика тут не нужна. Вполне достаточно классической.
А проще всего плотно намотать сто витков лески на карандаш и померить линейкой.
Впрочем, идея здравая. Основная область использования интерферометров (приборов, основанных на явлении интерференции) — это сверхточные измерения.

