Уровни энергии и волновые функции частицы в потенциальном поле
Автор
Сообщение
#44607
2021-12-06 22:35 GMT

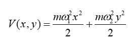
Найти уровни энергии и волновые функции частицы в потенциальном поле
Также необходимо исследовать случаи рационального и иррационального отношения частот ω1/ω2

