Зачем физике преобразования Лоренца (ПЛ)

#67118 AlexOsipovich :#67117 Alex1945 :#67113 AlexOsipovich :Alex1945, а почему Вам больше нравится ТЭЛ чем СТО? полагаете она менее парадоксальная?
В ТЭЛ есть физическая (материальная) причина для реальных РЭ. В СТО реальные РЭ не существуют, а есть только кинематические, следствие процесса измерения.
Мне кажется Вы в СТО упускаете очень важный момент — пространственно-временной континуум. В ТЭЛ РЭ объясняют наличием эфира, насколько я понимаю. В СТО эфир не требуется, но это не значит что РЭ ничем не объясняются
Эфир, вакуум, абсолютное пространство или еще что-нибудь материальное, физическое в СТО необходимо только в том случае, когда у реальных РЭ была бы физическая причина их появления для движущихся объектов. Нет у РЭ физической причины — нет и в физике (природе) самих реальных РЭ. Вот и называют РЭ релятивисты кинематическими.
Или
Как видите, в учебниках однозначно говорят, что часы во всех ИСО идут одинаково, а РЭ вовсе не являются замедлением времени (собственного хода часов), а всего лишь являются результатом отсчета промежутков времени между событиями разными способами.

315 сообщенийОткуда: аг. Засковичи, ул Зеленая, д 6
Кто: частный физик
Возраст: 36
#67124 Alex1945 :#67118 AlexOsipovich :#67117 Alex1945 :#67113 AlexOsipovich :Alex1945, а почему Вам больше нравится ТЭЛ чем СТО? полагаете она менее парадоксальная?
В ТЭЛ есть физическая (материальная) причина для реальных РЭ. В СТО реальные РЭ не существуют, а есть только кинематические, следствие процесса измерения.
Мне кажется Вы в СТО упускаете очень важный момент — пространственно-временной континуум. В ТЭЛ РЭ объясняют наличием эфира, насколько я понимаю. В СТО эфир не требуется, но это не значит что РЭ ничем не объясняются
Эфир, вакуум, абсолютное пространство или еще что-нибудь материальное, физическое в СТО необходимо только в том случае, когда у реальных РЭ была бы физическая причина их появления для движущихся объектов. Нет у РЭ физической причины — нет и в физике (природе) самих реальных РЭ. Вот и называют РЭ релятивисты кинематическими.
![]()
Или
![]()
Как видите, в учебниках однозначно говорят, что часы во всех ИСО идут одинаково, а РЭ вовсе не являются замедлением времени (собственного хода часов), а всего лишь являются результатом отсчета промежутков времени между событиями разными способами.
Верно говорят — часы во всех ИСО идут одинаково — НО ход времени зависит от скорости. А время равноправная часть пространственно-временного континуума.
Сама конструкция континуума с ПЛ накладывает ограничения — чем быстрее вы двигаетесь в пространстве тем медленнее двигаетесь во времени. Отсюда рождаются РЭ в СТО.
На этот же континуум опирается и ОТО.
Да, РЭ кинематические. Исходные понятия кинематики — пространство и время, именно они меняются при движении, сокращаются линейные размеры тела, замедляется время.
Но физические процессы протекают одинаково во всех ИСО.
Поймите правильно, то что Вы подчеркнули красным. Процессы часов во всех ИСО (как и любые другие процессы, например закипание воды в чайнике) протекают одинаково при одинаковых условиях среды, а вот ход времени зависит от скорости.
отредактировал(а) AlexOsipovich: 2024-10-05 18:51 GMT

#67111 Alex1945 :Спасибо за информацию! Следовательдно, ПЛ и в АТВ тоже не пригодились.
Повторяю, зависимость массы элементарной частицы от скорости не кинематический эффект, а от заполненности вакуума фотонами.
Впервые гипотеза о существовании светового давления была высказана Иоганном Кеплером в XVII веке для объяснения поведения хвостов комет при пролёте их вблизи Солнца. В 1873 г. Максвелл дал теорию давления света в рамках своей классической электродинамики. Экспериментально световое давление впервые исследовал П. Н. Лебедев в 1899 г. В его опытах в вакуумированном сосуде на тонкой серебряной нити подвешивались крутильные весы, к коромыслам которых были прикреплены тонкие диски из слюды и различных металлов. Главной сложностью было выделить световое давление на фоне радиометрических и конвективных сил (сил, обусловленных разностью температуры окружающего газа с освещённой и неосвещённой стороны). Кроме того, поскольку в то время не были разработаны вакуумные насосы, отличные от простых механических, Лебедев не имел возможности проводить свои опыты в условиях даже среднего, по современной классификации, вакуума.
Путём попеременного облучения разных сторон крылышек Лебедев нивелировал радиометрические силы и получил удовлетворительное (±20 %) совпадение с теорией Максвелла. Позднее, в 1907—1910 гг., Лебедев провёл более точные опыты по изучению давления света в газах и также получил приемлемое согласие с теорией.
отредактировал(а) marsdmitri: 2026-01-04 04:39 GMT

315 сообщенийОткуда: аг. Засковичи, ул Зеленая, д 6
Кто: частный физик
Возраст: 36
#67128 Александр Рыбников :#67111 Alex1945 :Спасибо за информацию! Следовательдно, ПЛ и в АТВ тоже не пригодились.Повторяю, зависимость массы элементарной частицы от скорости не кинематический эффект, а от заполненности вакуума фотонами.
Глупость товарищ Рыбников пишите. Давление света тема известная, но ничего общего с релятивисткой массой это давление не имеет.

#67125 AlexOsipovich :Верно говорят — часы во всех ИСО идут одинаково — НО ход времени зависит от скорости. А время равноправная часть пространственно-временного континуума.
=====
Процессы часов во всех ИСО (как и любые другие процессы, например закипание воды в чайнике) протекают одинаково при одинаковых условиях среды, а вот ход времени зависит от скорости.
#67073 2024-10-03 14:08 GMT
Я также как и Вы полагаю что ход времени одинаковый для всех и от скорости не зависит. При движении замедляется ход процессов, а ПО в природе не работает, т.к процессы протекают с разной скоростью, которая зависит от скорости системы в среде
Чему верить? Или Ваше мнение зависит от того с кем общаетесь? И, вообще, оно у Вас есть Ваше мнение, как результат понимания темы?

#66848 Fedor :В теории относительности действительно присутствуют два времени. Это время, которое течет одинаково и не зависит от скорости и пространственной координаты в любой системе отсчета, и время, ход которого дает пересчет по формуле преобразования Лоренца. Пересчитанное по формуле преобразования время никакого отношения к реальности не имеет и его ход не может быть зарегистрирован никакими приборами.
То, что в ТО заложена умственная жвачка под названием синхронизация часов, совершенно очевидно, это исключительно мысленный эксперимент, который невозможно проверить эксперементально, так как часы постоянно будут рассинхронизироваться, к тому же это требует нерелятивистских скоростей в которые нереально поместить реальные часы. Мне совершенно как радиофизику очевидно, что можно мерить длину импульса перносимого световым лучом и таким образом надобность в синхронизации часов отпадет, если при движени наблюдателя к источники или от источника импульса перносимого световой волной, длина импульса будет изменяться, то этого достаточно, для того, что бы опровергнуть невозможность применения закона сложения скоростей, который и был положен в основу СТО, которая утверждает, что скорость света в любой ИСО постоянна, что кстати следует из уравнений Максвела, так как частота ЭМИ не зависит от выбора систеы отсчета из которой этот ЭМИ наблюдается. Меня всегда немного вводит обескураживает, когда противники СТО, совершенно не задумываются о том, что корень зла не в преобразованиях Лоренца, а в уравнениях Максвела, которые кстати написаны не для свободных зарядов, а для проводников с переменным током. Да эти уравнения прекрасно предсказывают распространенние ЭМИ, только костыль в виде тока смещения не применим к свободным зарядам вне проводника с током. Тем не менее эти уранения легли в осному постулатов о том, что скорость всета постоянна относительно любой системы отсчета.
Меня больше напрягает другое следствие из СТО, что равноускоренное движение не влияет на искривление пространства и замедление времени. Совершенно очевидно, что равноускоренное движение создает точно такие же условия как и в условиях гравитации. Искривление метрики пространства приводит к замедлению времени, что обеспечивает постоянство скорости света не зависимо от того, на сколько пространство растянуту вместе со своей метрикой. Очевидно, что равноускоренное движение, так же создает искривление пространства относительно равноускоренной системы отсчета, однако такие системы отсчета в принципе не рассматривает СТО, так как она не будет инерциальой. А между тем именно в системе отсчета движущейся равноускоренно, а не равномерно должно наблюдаться замедление времени как в условиях грвитации, так как картины искривления пространства вызываемого движущимся равноускоренно масивым телом и искривление пространства в результате искривления метрики пространства под действием массивного тела будут идентичны если ускорение массивного тела такое де как создаваемое исривлением метрики пространства ускорение свободного падения.
отредактировал(а) Vadim: 2024-10-05 22:58 GMT

315 сообщенийОткуда: аг. Засковичи, ул Зеленая, д 6
Кто: частный физик
Возраст: 36
#67142 Александр Рыбников :#67136 AlexOsipovich :#67128 Александр Рыбников :#67111 Alex1945 :Спасибо за информацию! Следовательдно, ПЛ и в АТВ тоже не пригодились.Повторяю, зависимость массы элементарной частицы от скорости не кинематический эффект, а от заполненности вакуума фотонами.
Глупость товарищ Рыбников пишите. Давление света тема известная, но ничего общего с релятивисткой массой это давление не имеет.
Уважаемый AlexOsipovich!
Вместо доказательства глупости, Вы, как всегда, и во всём, брякаете и сбегаете. Да, и ещё репутацию мне понижаете за правду.
А вот посмотрите здесь #66996 и докажите Ваше утверждение, что это глупость. Пока я могу сказать, что Вы не белорусский партизан.
Знакома Вам такая формула?
Подумайте сами, если то что вы утверждаете правда, тогда эта формула должна быть другой, в числителе должна быть не масса, а фронтальная площадь объекта.

315 сообщенийОткуда: аг. Засковичи, ул Зеленая, д 6
Кто: частный физик
Возраст: 36
#67141 Fedor :#67125 AlexOsipovich :Верно говорят — часы во всех ИСО идут одинаково — НО ход времени зависит от скорости. А время равноправная часть пространственно-временного континуума.
=====
Процессы часов во всех ИСО (как и любые другие процессы, например закипание воды в чайнике) протекают одинаково при одинаковых условиях среды, а вот ход времени зависит от скорости.
#67073 2024-10-03 14:08 GMT
Я также как и Вы полагаю что ход времени одинаковый для всех и от скорости не зависит. При движении замедляется ход процессов, а ПО в природе не работает, т.к процессы протекают с разной скоростью, которая зависит от скорости системы в среде
Чему верить? Или Ваше мнение зависит от того с кем общаетесь? И, вообще, оно у Вас есть Ваше мнение, как результат понимания темы?
Просто есть мои личные суждения (то что Вы процитировали, лишь мое мнение), а есть СТО и ее трактования.
Тут тема про СТО и ТЭЛ, где есть ПЛ, поэтому я стараюсь свою позицию сюда не вносить, опираюсь лишь на свое понимание СТО, ТЭЛ и ПЛ.
отредактировал(а) AlexOsipovich: 2024-10-05 23:44 GMT

#67125 AlexOsipovich :#67124 Alex1945 :#67118 AlexOsipovich :#67117 Alex1945 :#67113 AlexOsipovich :Alex1945, а почему Вам больше нравится ТЭЛ чем СТО? полагаете она менее парадоксальная?
В ТЭЛ есть физическая (материальная) причина для реальных РЭ. В СТО реальные РЭ не существуют, а есть только кинематические, следствие процесса измерения.
Мне кажется Вы в СТО упускаете очень важный момент — пространственно-временной континуум. В ТЭЛ РЭ объясняют наличием эфира, насколько я понимаю. В СТО эфир не требуется, но это не значит что РЭ ничем не объясняются
Эфир, вакуум, абсолютное пространство или еще что-нибудь материальное, физическое в СТО необходимо только в том случае, когда у реальных РЭ была бы физическая причина их появления для движущихся объектов. Нет у РЭ физической причины — нет и в физике (природе) самих реальных РЭ. Вот и называют РЭ релятивисты кинематическими.
![]()
Или
![]()
Как видите, в учебниках однозначно говорят, что часы во всех ИСО идут одинаково, а РЭ вовсе не являются замедлением времени (собственного хода часов), а всего лишь являются результатом отсчета промежутков времени между событиями разными способами.
Верно говорят — часы во всех ИСО идут одинаково — НО ход времени зависит от скорости. А время равноправная часть пространственно-временного континуума.
Собственный ход часов в любой ИСО зависит от скорости протекания физических процессов в данной ИСО, принятых в качестве эталона времени для часов этой ИСО. А собственные часы в ИСО измеряют исключительно (только) временную составляющую (часть) пространственно-временного континуума. Поэтому собственный ход часов в СТО инвариантный, а в ТЭЛ и СЭТ зависит от скорости в эфире (АСО).
Сама конструкция континуума с ПЛ накладывает ограничения — чем быстрее вы двигаетесь в пространстве тем медленнее двигаетесь во времени. Отсюда рождаются РЭ в СТО.
Не понимаю физическую конструкцию математического пространственно-временного континуума, но согласно ПЛ движущиеся часы должны идти быстрее неподвижных в \(\gamma\) раз, чтобы в результате измерений, использующих ОО, получить результат, в котором окажется, будто движущиеся часы идут медленнее неподвижных. Хотя изначально (до начала измерения) согласно ПЛ движущиеся часы шли быстрее неподвижных.
На этот же континуум опирается и ОТО.
То есть если СТО некорректна, то и ОТО тоже.
Да, РЭ кинематические. Исходные понятия кинематики — пространство и время, именно они меняются при движении, сокращаются линейные размеры тела, замедляется время.
В СТО исходное понятие термина «кинематические РЭ» означает результат измерения физических параметров движущегося объекта приборами неподвижной ИСО.
Но физические процессы протекают одинаково во всех ИСО.
Поймите правильно, то что Вы подчеркнули красным. Процессы часов во всех ИСО (как и любые другие процессы, например закипание воды в чайнике) протекают одинаково при одинаковых условиях среды, а вот ход времени зависит от скорости.
Если ход времени (скорость протекания физических процессов) зависит от равномерной и прямолинейной скорости, то это означает нарушение первого постулата СТО, согласно которому… ...

#67148 AlexOsipovich :#67141 Fedor :#67125 AlexOsipovich :Верно говорят — часы во всех ИСО идут одинаково — НО ход времени зависит от скорости. А время равноправная часть пространственно-временного континуума.
=====
Процессы часов во всех ИСО (как и любые другие процессы, например закипание воды в чайнике) протекают одинаково при одинаковых условиях среды, а вот ход времени зависит от скорости.
#67073 2024-10-03 14:08 GMT
Я также как и Вы полагаю что ход времени одинаковый для всех и от скорости не зависит. При движении замедляется ход процессов, а ПО в природе не работает, т.к процессы протекают с разной скоростью, которая зависит от скорости системы в среде
Чему верить? Или Ваше мнение зависит от того с кем общаетесь? И, вообще, оно у Вас есть Ваше мнение, как результат понимания темы?
Просто есть мои личные суждения (то что Вы процитировали, лишь мое мнение), а есть СТО и ее трактования.
Тут тема про СТО и ТЭЛ, где есть ПЛ, поэтому я стараюсь свою позицию сюда не вносить, опираюсь лишь на свое понимание СТО, ТЭЛ и ПЛ.
А может конкретно сказать: в какой теории и зачем нужна ПЛ?

Делаю два суждения
А: = ПЛ часть СТО.
В := СТО нужна чтобы делать верные предсказания показаний измерительных приборов и вообще природных эффектов.
Делаю из них умозаключение
С := ПЛ нужны чтобы делать верные предсказания про физику
Вроде всё, тема получила свой ответ. Можно закрывать.
Или еще какие-то вопросы про ПЛ остались?

#67156 Fedor: ПЛ физике не нужны.
Ну давай проверим. Атмосферные мюоны. Собственное время жизни примерно 2,2мкс. Скорость относительно земной поверхности около 0,999 скорости света.
Какое расстояние может пролететь мюон за свою жизнь? Без ПЛ получается что он и одного километра не пролетит при такой скорости. Но по факту пролетает сотню километров. Ровно столько и предсказывают ему пролетать ПЛ.
Ну вот выкинем мы ПЛ из физики, и что тогда с мюонами? они что, резко начнут не долетать до земной поверхности?

315 сообщенийОткуда: аг. Засковичи, ул Зеленая, д 6
Кто: частный физик
Возраст: 36
Собственный ход часов в любой ИСО зависит от скорости протекания физических процессов в данной ИСО, принятых в качестве эталона времени для часов этой ИСО. А собственные часы в ИСО измеряют исключительно (только) временную составляющую (часть) пространственно-временного континуума. Поэтому собственный ход часов в СТО инвариантный, а в ТЭЛ и СЭТ зависит от скорости в эфире (АСО).
Сама конструкция континуума с ПЛ накладывает ограничения — чем быстрее вы двигаетесь в пространстве тем медленнее двигаетесь во времени. Отсюда рождаются РЭ в СТО.
Не понимаю физическую конструкцию математического пространственно-временного континуума, но согласно ПЛ движущиеся часы должны идти быстрее неподвижных в \(\gamma\) раз, чтобы в результате измерений, использующих ОО, получить результат, в котором окажется, будто движущиеся часы идут медленнее неподвижных. Хотя изначально (до начала измерения) согласно ПЛ движущиеся часы шли быстрее неподвижных.
На этот же континуум опирается и ОТО.
То есть если СТО некорректна, то и ОТО тоже.
Да, РЭ кинематические. Исходные понятия кинематики — пространство и время, именно они меняются при движении, сокращаются линейные размеры тела, замедляется время.
В СТО исходное понятие термина «кинематические РЭ» означает результат измерения физических параметров движущегося объекта приборами неподвижной ИСО.
![]()
Но физические процессы протекают одинаково во всех ИСО.
Поймите правильно, то что Вы подчеркнули красным. Процессы часов во всех ИСО (как и любые другие процессы, например закипание воды в чайнике) протекают одинаково при одинаковых условиях среды, а вот ход времени зависит от скорости.
Если ход времени (скорость протекания физических процессов) зависит от равномерной и прямолинейной скорости, то это означает нарушение первого постулата СТО, согласно которому… ...
![]()
>> Собственный ход часов в любой ИСО зависит от скорости протекания физических процессов в данной ИСО, принятых в качестве эталона времени для часов этой ИСО.
Собственный ход часов в ИСО не меняется, часы тикают одинаково — процессы часов протекают одинаково.
А ход самого времени в разных ИСО зависит от скорости ИСО.
Вы почему-то не разделяете ход процессов и ход времени.
Вот представьте у вас на столе лежат мех часы, их ход может замедится по двум причинам:
1) Замедлились процессы самих часов по какой-то причине
2) Замедлился ход времени в системе в целом
Согласны?
В СТО и ОТО время отделено от физических процессов — вынесено в конструкцию ПВК
Если в одной СО прошло 15 сек времени, а во второй 30 сек, разве это нарушает ПО?
Нет, это говорит о том, что СО были асимметричны, т.к несмотря на то что в одной системе времени прошло меньше, физические законы не поменяли своей формы, т.к физические процессы протекали с одинаковой скоростью.
ПО именно о физических процессах:
При́нцип относи́тельности (принцип относительности Эйнштейна) — фундаментальный физический принцип, один из принципов симметрии, согласно которому все физические процессы в инерциальных системах отсчёта протекают одинаково, независимо от того, неподвижна ли система или она находится в состоянии равномерного и прямолинейного движения.
отредактировал(а) AlexOsipovich: 2024-10-06 11:52 GMT

#67158 kos1kos :#67156 Fedor: ПЛ физике не нужны.Ну давай проверим. Атмосферные мюоны. Собственное время жизни примерно 2,2мкс. Скорость относительно земной поверхности около 0,999 скорости света.
Какое расстояние может пролететь мюон за свою жизнь? Без ПЛ получается что он и одного километра не пролетит при такой скорости. Но по факту пролетает сотню километров. Ровно столько и предсказывают ему пролетать ПЛ.
Не смотря на то, что я разжевал смысл ПЛ, Вы так этого не поняли и клеите к ним увеличение времени распада релятивистских мюонов. Основная часть прилетающих к нам мюонов имеет энергию около 10 12 эВ. Это на четыре порядка больше энергии их массы покоя. Это означает, что их инерционная релятивистская масса на четыре порядка больше их массы. Как Вы думаете, что быстрее развалится – горошина массой 1 г или арбуз массой 10 кг? Сила, вызывающая распад при этом не меняется, а сам факт распада Вы видите по движению его осколков. Относительно ПЛ для Вас и Вам подобным даю еще одно пояснение. Результат ПЛ – это изображение себя и своего окружения, которое наблюдатель неподвижной СО видит в движущемся кривом зеркале. Отсюда делайте вывод – они физике нужны или не нужны.

#67147 AlexOsipovich :#67142 Александр Рыбников :А вот посмотрите здесь #66996 и докажите Ваше утверждение, что это глупость. Пока я могу сказать, что Вы не белорусский партизан.
![]()
Знакома Вам такая формула?
Подумайте сами, если то что вы утверждаете правда, тогда эта формула должна быть другой, в числителе должна быть не масса, а фронтальная площадь объекта.
Уважаемый AlexOsipovich!
Был такой фильм: «А поутру они проснулись.»
Приведённую Вами формулу любят использовать завмаги продовольственных магазинов. Поэтому британцы так любили свои южные колонии. Доставленный оттуда товар сам по себе весил больше!
А я профессиональный специалист по ядерным реакциям. Поэтому я использую термин эффективное поперечное сечение (фронтальная площадь объекта — это из скорее из области архитектуры).
См. Эффективное сечение — Википедия (wikipedia.org).
Эффективное сечение — физическая величина, характеризующая вероятность перехода системы двух взаимодействующих частиц в определённое конечное состояние, количественная характеристика актов столкновения частиц налетающего на мишень потока с частицами мишени. Широко применяется в атомной и ядерной физике при исследовании процессов рассеяния пучков частиц на мишенях[1].
Эффективное поперечное сечение имеет размерность площади. Наглядно эту величину можно представить как условную сумму поперечных сечений частиц, из которых состоит мишень. При облучении этой мишени равномерным потоком, частицы, составляющие поток, должны попасть в это поперечное сечение. Частицы, которые «промахнутся» — не примут участия в рассматриваемом канале взаимодействия.
Вот как это выглядит:
Так что, Ваше представление о массе в зависимости от энергии весьма детское.
Это Вы думаете, что занимаетесь животрепещущими проблемами физики. А на самом деле Вы и компания на сайте отстала на сотню лет от реальности.
А ещё есть дифференциальные сечения реакций!
Кстати, про барн здесь: Ядерное эффективное сечение — Википедия (wikipedia.org)

315 сообщенийОткуда: аг. Засковичи, ул Зеленая, д 6
Кто: частный физик
Возраст: 36
#67161 Александр Рыбников :Уважаемый AlexOsipovich!
Был такой фильм: «А поутру они проснулись.»
Приведённую Вами формулу любят использовать завмаги продовольственных магазинов. Поэтому британцы так любили свои южные колонии. Доставленный оттуда товар сам по себе весил больше!
А я профессиональный специалист по ядерным реакциям. Поэтому я использую термин эффективное поперечное сечение (фронтальная площадь объекта — это из скорее из области архитектуры).
См. Эффективное сечение — Википедия (wikipedia.org).
Эффективное сечение — физическая величина, характеризующая вероятность перехода системы двух взаимодействующих частиц в определённое конечное состояние, количественная характеристика актов столкновения частиц налетающего на мишень потока с частицами мишени. Широко применяется в атомной и ядерной физике при исследовании процессов рассеяния пучков частиц на мишенях[1].
Эффективное поперечное сечение имеет размерность площади. Наглядно эту величину можно представить как условную сумму поперечных сечений частиц, из которых состоит мишень. При облучении этой мишени равномерным потоком, частицы, составляющие поток, должны попасть в это поперечное сечение. Частицы, которые «промахнутся» — не примут участия в рассматриваемом канале взаимодействия.
Вот как это выглядит:
![]()
Так что, Ваше представление о массе в зависимости от энергии весьма детское.
Это Вы думаете, что занимаетесь животрепещущими проблемами физики. А на самом деле Вы и компания на сайте отстала на сотню лет от реальности.
А ещё есть дифференциальные сечения реакций!
Кстати, про барн здесь: Ядерное эффективное сечение — Википедия (wikipedia.org)
Вы, наверное, путаете деффект массы и зависимость массы от скорости

#67156 Fedor :#67155 Alex1945 :#67148 AlexOsipovich :Просто есть мои личные суждения (то что Вы процитировали, лишь мое мнение), а есть СТО и ее трактования.
Тут тема про СТО и ТЭЛ, где есть ПЛ, поэтому я стараюсь свою позицию сюда не вносить, опираюсь лишь на свое понимание СТО, ТЭЛ и ПЛ.
А может конкретно сказать: в какой теории и зачем нужна ПЛ?
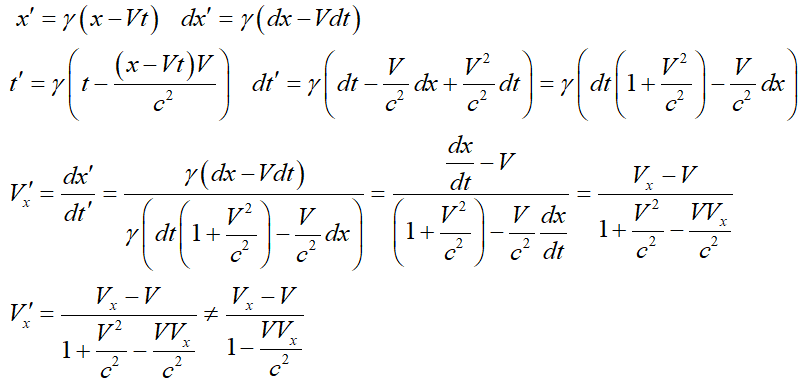
Сказать можно. Только для вразумительного ответа нужно понимание сути проблемы и в чем заключается смысл ПЛ. ПЛ возникла из предположения о постоянстве скорости света в ИСО. Чего нет на самом деле. Кроме того, результаты ПЛ являются всего-лишь изображениями координат неподвижной СО в движущейся СО. Символы t' и x' — это координаты изображения (рисунка, фотографии, зеркального изображения), но не реальные координаты движущейся СО измеряемого ими объекта, расположенного в неподвижной СО. t' — это не время, которое показывают часы движущейся СО. Это преобразованное время неподвижной СО. Ход часов в движущейся СО не зависит от того, что делают преобразования с координатами движущейся системы.
Если сказанное понятно, то ПЛ физике не нужны.
То есть Ваш ответ на вопрос заголовка темы: ПЛ физике не нужны! К этому я и пытаюсь подвести участников дискуссии в этой теме.

#67163 AlexOsipovich :Вы, наверное, путаете деффект массы и зависимость массы от скорости
Вы сами не понимаете, что Вы пишете.
Я двадцать лет занимался проектированием ядерных реакторов, в которых и утилизируется именно дефект массы!
Это Вы путаете деффект с дефектом.
Я понимаю, что белорусский язык, включает русский всего на четверть. Тем не менее это Ваши проблемы.

#67093 Alex1945 :И если Вы назовете СТО подразделом классической физики, то это не устранит ее противоречия (парадоксы).
Не я её так называю. Просто она таковой является по определению. А противоречий (парадоксов) в СТО нет.
На форумах и в истории физики классической физикой (КФ) обычно называют физику Ньютона. КМ — это классическая механика Ньютона (КМ).
А в учебниках?
Но если ПЛ содержат ошибки в релятивистской механике (РМ), то неправомерно распространять их еще и на электродинамику.
ПЛ ошибок не содержат. Более того, они устраняют противоречия в электродинамике Максвелла.
ПЛ в СТО и в ТЭЛ отличаютсая тем, какой смысл вкладывается в используемые там обозначения.
Простейшая форма ПЛ:
\( \left\{\begin{matrix}x'= \gamma \left ( x-vt \right )\\t'=\gamma \left ( t-\frac{vx}{c^2} \right )\end{matrix}\right.\)
Смысл обозначений в СТО:
x — результат измерения расстояния от события, принятого за начало отсчёта, до некоторого другого события в инерциальной системе отсчёта К;
t — результат измерения промежутка времени от события, принятого за начало отсчёта, до некоторого другого события в инерциальной системе отсчёта К;
x' — результат измерения расстояния от события, принятого за начало отсчёта, до некоторого другого события в инерциальной системе отсчёта К';
t' — результат измерения промежутка времени от события, принятого за начало отсчёта, до некоторого другого события в инерциальной системе отсчёта К';
v — скорость движения инерциальной системы отсчёта К' относительно инерциальной системы отсчёта К;
с — максимально возможная величина скорости передачи сигнала в инерциальной системе отсчёта;
\(\gamma =\frac{1}{\sqrt{1-\frac{v^2}{c^2}}}\)
У меня несколько другое понимание условных обозначений, приведенный выше Вами для СТО.
Смысл обозначений в СТО:
x — координата точки в инерциальной системе отсчёта К;
t — момент времени по часам текущей инерциальной системы отсчёта К;
x' — координата точки в инерциальной системе отсчёта К';
t' — момент времени по часам текущей инерциальной системы отсчёта К';
v — скорость движения инерциальной системы отсчёта К' относительно инерциальной системы отсчёта К;
с — скорость света в вакууме;
«координата точки» Какой точки? Чем эта точка особенная? И откуда взялась эта координата (число x)?
«момент времени». Что это за момент? Что в этот момент случилочь? И откуда взялось число t?
«Скорость света в вакууме» — это из ранних работ по СТО. По большому счёту, фундаментальная постоянная с ни к свойствам вакуума, ни к свойствам света отношения не имеет.
В ТЭЛ обычно используются обозначения, аналогичные СТО, но они должны иметь некоторые отличия из-за наличия в ТЭЛ эфира и выделенной системы отсчета — АСО (СО, неподвижная в эфире).
x — координата точки в неподвижной в эфире инерциальной системе отсчёта К (АСО);
t — момент времени по часам текущей инерциальной системы отсчёта К;
x' — координата точки в инерциальной системе отсчёта К', движущейся в эфире;
t' — момент времени по часам текущей инерциальной системы отсчёта К';
v — относительная скорость движения инерциальной системы отсчёта К' относительно инерциальной системы отсчёта К;
vабс — абсолютная скорость движения инерциальной системы отсчёта К';
с — скорость света в вакууме, эфире, абсолютном пространстве ;
Как измерить vабс — абсолютную скорость движения инерциальной системы отсчёта К'?
Как измерить с — скорость света в вакууме, эфире?
Что таоке «абсолютное пространство»?
Как сторонник СТО Вы должны доказать, что ПЛ в СТО используются обоснованно.
Сто раз показано и без меня.
Вы должны показать, почему недостатки и противоречия ПЛ в ТЭЛ не распространяются на СТО.
Я ничего не знаю про противоречияПЛ в ТЭЛ. А в СТО противоречий нет.
Я достаточно свободен в своих рассуждениях и могу открыто заявлять о своем несогласии с официально принятой точкой зрения по этому вопросу!
Так вы же ничего не знаете по этому вопросу. Потому что не читаете учебников. Как же вы можете иметь по этому поводу собственное мнение??
Тогда объясните, почему движущиеся часы отстают от неподвижных? Какова физическая причина этого отставания?
Не отстают. Потому что для отставания нет причины.
Недаром сам Эйнштейн говорил, что если факты противоречат теории, то тем хуже для теории.
Враньё. Так говорил Гегель — «философ», простите за выражение. И цитату вы исказили.
„Если факты противоречат моей теории — тем хуже для фактов .“ — Георг Гегель
С Вашей поправкой согласен, но я где-то встречал подобное высказывание самого Эйнштейна, хотя он может просто цитировал Гегеля.
Нет. Это вам подобные приписывают Эйнштейну то, чего он не говорил (обычная практика).
А я 25 лет занимался прикладными расчетами, которые использовались при создании технических систем и никто не усомнился в моей компетентности.
И при этом не способны решить простейшую школьную задачку? Занятно...
Просто задачи, которые Вы называете школьными, не соответствуют физическим законам и формальной логике (я говорю о СТО), что я ясно вижу и о чем Вы, видимо, и не подозреваете.
Просто вы понятия не имеете о физических законах и логике. Поэтому ясно видите то, чего нет (называется галлюцинацией).

#67096 AlexOsipovich :#67078 zam :В тысячный раз, для тех кто в танке. Причина релятивистских эффектов — ограниченность скорости передачи сигналов от измеряемого объекта к измерительному прибору.
Что такое БКФ?
Откуда вы это взяли? Сами придумали?
Из учебников. В том числе из БКФ (Берклеевский курс физики). Я правильно понял аббревиатуру?

#67248 zam :#67093 Alex1945 :И если Вы назовете СТО подразделом классической физики, то это не устранит ее противоречия (парадоксы).
Не я её так называю. Просто она таковой является по определению. А противоречий (парадоксов) в СТО нет.
Не торопитесь делать окончательное заключение, ведь Вы еще не доказали отсутствие противоречий в парадоксе трех часов в соседней теме «Парадокс собственного хода трех часов. Схема Смородинского». Да и я еще не встретил внятного доказательства отсутствия противоречий в классическом варианте парадокса часов. Может, дадите ссылку на вариант, объясняющий отсутствие противоречий в этом парадоксе в рамках СТО? А то мне больше встречалось признание, что этот парадокс легко объясняется в ОТО, а ведь этот парадокс именно СТО, заключающийся в противоречии релятивистского замедления времени первому постулату СТО.
На форумах и в истории физики классической физикой (КФ) обычно называют физику Ньютона. КМ — это классическая механика Ньютона (КМ).
А в учебниках?
Просто физикой.
Но если ПЛ содержат ошибки в релятивистской механике (РМ), то неправомерно распространять их еще и на электродинамику.
ПЛ ошибок не содержат. Более того, они устраняют противоречия в электродинамике Максвелла.
В этой теме исходный пост как раз и говорит о противоречиях ПЛ.
ПЛ в СТО и в ТЭЛ отличаютсая тем, какой смысл вкладывается в используемые там обозначения.
Простейшая форма ПЛ:
\( \left\{\begin{matrix}x'= \gamma \left ( x-vt \right )\\t'=\gamma \left ( t-\frac{vx}{c^2} \right )\end{matrix}\right.\)
Смысл обозначений в СТО:
x — результат измерения расстояния от события, принятого за начало отсчёта, до некоторого другого события в инерциальной системе отсчёта К;
t — результат измерения промежутка времени от события, принятого за начало отсчёта, до некоторого другого события в инерциальной системе отсчёта К;
x' — результат измерения расстояния от события, принятого за начало отсчёта, до некоторого другого события в инерциальной системе отсчёта К';
t' — результат измерения промежутка времени от события, принятого за начало отсчёта, до некоторого другого события в инерциальной системе отсчёта К';
v — скорость движения инерциальной системы отсчёта К' относительно инерциальной системы отсчёта К;
с — максимально возможная величина скорости передачи сигнала в инерциальной системе отсчёта;
\(\gamma =\frac{1}{\sqrt{1-\frac{v^2}{c^2}}}\)
У меня несколько другое понимание условных обозначений, приведенный выше Вами для СТО.
Смысл обозначений в СТО:
x — координата точки в инерциальной системе отсчёта К;
t — момент времени по часам текущей инерциальной системы отсчёта К;
x' — координата точки в инерциальной системе отсчёта К';
t' — момент времени по часам текущей инерциальной системы отсчёта К';
v — скорость движения инерциальной системы отсчёта К' относительно инерциальной системы отсчёта К;
с — скорость света в вакууме;
«координата точки» Какой точки? Чем эта точка особенная? И откуда взялась эта координата (число x)?
Координата любой произвольной точки, принятой для рассмотрения.
«момент времени». Что это за момент? Что в этот момент случилочь? И откуда взялось число t?
Любой момент времени в неподвижной ИСО, выбранный для рассмотрения события, происходящего в точке с координатой x.
«Скорость света в вакууме» — это из ранних работ по СТО. По большому счёту, фундаментальная постоянная с ни к свойствам вакуума, ни к свойствам света отношения не имеет.
Меня в этой теме интересует именно скорость света в вакууме, являющаяся свойством вакуума в СТО или эфира в ТЭЛ или СЭТ. И меня не волнует, что она совпала по величине с какой-то фундаментальной постоянной.
В ТЭЛ обычно используются обозначения, аналогичные СТО, но они должны иметь некоторые отличия из-за наличия в ТЭЛ эфира и выделенной системы отсчета — АСО (СО, неподвижная в эфире).
x — координата точки в неподвижной в эфире инерциальной системе отсчёта К (АСО);
t — момент времени по часам текущей инерциальной системы отсчёта К;
x' — координата точки в инерциальной системе отсчёта К', движущейся в эфире;
t' — момент времени по часам текущей инерциальной системы отсчёта К';
v — относительная скорость движения инерциальной системы отсчёта К' относительно инерциальной системы отсчёта К;
vабс — абсолютная скорость движения инерциальной системы отсчёта К';
с — скорость света в вакууме, эфире, абсолютном пространстве ;
Как измерить vабс — абсолютную скорость движения инерциальной системы отсчёта К'?
По разнице скорости света в разных направлениях, которую можно измерить по часам, синхронизированных с абсолютной одновременностью, которую СТО запрещает только на словах.
Как измерить с — скорость света в вакууме, эфире?
Используя первый постулат СТО, согласно которому часы во всех ИСО идут одинаково.
Что таоке «абсолютное пространство»?
По Ньютону, абсолютное пространство — вместилище материальных тел.
Как сторонник СТО Вы должны доказать, что ПЛ в СТО используются обоснованно.
Сто раз показано и без меня.
Доказано, но, видимо, не окончательно. В противном случае хватило бы и одного доказательства. Вот эта тема говорит о наличии некоторых сомнений в доказанности Ваших утверждений.
Вы должны показать, почему недостатки и противоречия ПЛ в ТЭЛ не распространяются на СТО.
Я ничего не знаю про противоречияПЛ в ТЭЛ. А в СТО противоречий нет.
Если в СТО позаимствовали ПЛ из ТЭЛ без изменений, то противоречия ТЭЛ перешли в СТО.
Я достаточно свободен в своих рассуждениях и могу открыто заявлять о своем несогласии с официально принятой точкой зрения по этому вопросу!
Так вы же ничего не знаете по этому вопросу. Потому что не читаете учебников. Как же вы можете иметь по этому поводу собственное мнение??
Все мои сомнения в корректности ПЛ в СТО и ТЭЛ как раз и почерпнуты из учебников. И аргументы, обосновывающие мои сомнения, приведены в этой теме.
Тогда объясните, почему движущиеся часы отстают от неподвижных? Какова физическая причина этого отставания?
Не отстают. Потому что для отставания нет причины.
Следовательно, нет причины и отвергать приведенный выше способ абсолютной синхронизации.
Недаром сам Эйнштейн говорил, что если факты противоречат теории, то тем хуже для теории.
Враньё. Так говорил Гегель — «философ», простите за выражение. И цитату вы исказили.
„Если факты противоречат моей теории — тем хуже для фактов .“ — Георг Гегель
С Вашей поправкой согласен, но я где-то встречал подобное высказывание самого Эйнштейна, хотя он может просто цитировал Гегеля.
Нет. Это вам подобные приписывают Эйнштейну то, чего он не говорил (обычная практика).
Вы правы, Эйнштейн, согласно другим источникам, он говорил немножко по-другому: «Если факты не соответствуют теории, измените факты». А может, он и цитировал Гегеля? Но главное, что он, видимо, был согласен с этим высказыванием.
А я 25 лет занимался прикладными расчетами, которые использовались при создании технических систем и никто не усомнился в моей компетентности.
И при этом не способны решить простейшую школьную задачку? Занятно...
Просто задачи, которые Вы называете школьными, не соответствуют физическим законам и формальной логике (я говорю о СТО), что я ясно вижу и о чем Вы, видимо, и не подозреваете.
Просто вы понятия не имеете о физических законах и логике. Поэтому ясно видите то, чего нет (называется галлюцинацией).
Это голословное утверждение, но у Вас есть возможность в этой теме его доказать. Попробуйте, это будет интересно и не только мне. У меня есть болельщики и сторонники.

Вычитал тут мысль «СТО это подраздел классической физики». Странное утверждение. По мне так вроде ровно наоборот «классическая физика это частный случай СТО для малых относительных скоростей». Спор на предмет «как правильно» конечно к самой науке-физике отношения не имеет, это просто праздное философствование, но всё равно стало любопытно разобраться.
Счас дам свое философское толкование.
Физика — это такая наука, которая в своей основе основ имеет показания двух измерительных приборов — дальномера и секундомера. (ну проще говоря «линейка и часы»). Абсолютно все элементы всех физических моделей содержат (не напрямую конечно, но опоследовательно) в себе эти две характеристики.
В таком вот свете уже можно обозначить различии «классической» и «СТО» физик — СТО верно предсказывает показания этой пары приборов, а «классическая физика » врет. Но если скорости (приборов друг относительно друга) невысокие, то врет столь незначительно мало, что можно закрыть на это глаза и признать что в таком частном случае «классическая физика» тоже говорит правду.
Вроде вполне себе компромиснно получилось, все довольны, обиженных нет. Каждой сестре по серьге.
В случае с задачей про трое часов Александра. И СТО и классическая физика (КМН) предсказывают ведь одинаково на уровне логики Та=Тв+Тс для этой задачи. И если скорости часов друг относительно друга невысокие, то можно смело знать что и на количественном уровне число времени Та и СТО и КМН предскажут одинаковое. Но если скорости большие, то тут уже число Та предсказанное СТО будет правильным (соотвествующим практике), а число Та предсказанное КМН будет ошибочным (противоречащим практике).
А уж кто выдумал глупость про то что СТО предсказывает Та≠Тв+Тс, так это пусть останется на совести такого выдумщика. В СТО Эйнштейна такой глупости никогда не утверждалось.

#67300 kos1kos :В случае с задачей про трое часов Александра. И СТО и классическая физика (КМН) предсказывают ведь одинаково на уровне логики Та=Тв+Тс для этой задачи. И если скорости часов друг относительно друга невысокие, то можно смело знать что и на количественном уровне число времени Та и СТО и КМН предскажут одинаковое. Но если скорости большие, то тут уже число Та предсказанное СТО будет правильным (соотвествующим практике), а число Та предсказанное КМН будет ошибочным (противоречащим практике).
Просто Вы не поняли физический смысл термина «собственное время» в ТЭЛ и СТО. А в СТО собственное время — инвариант, т. е. часы во всех ИСО идут одинаково.
А в том эксперименте рассматриваются отрезки собственного времени трех часов. На основании этого в СТО и КФ (КМН) равенство должно выполняться на любой скорости и с любой точностью.
А уж кто выдумал глупость про то что СТО предсказывает, так это пусть останется на совести такого выдумщика. В СТО Эйнштейна такой глупости никогда не утверждалось.
Релятивисты утверждают, что Та>Тв+Тс вытекает из экспериментальных данных, т. е. М-М и поведения быстродвижущихся элементарных частиц.

#67310 Alex1945 :Релятивисты утверждают, что Та>Тв+Тс вытекает из экспериментальных данных, т. е. М-М и поведения быстродвижущихся элементарных частиц.
Ложь. Такую фантастическую глупость придумали люди которые не разобрались в СТО, но при этом уверовали что разобрались, наивно и необоснованно считают себя знатоками этой теории. (Кстати ни одной задачи-то с помощью СТО они не могут решить так, чтобы у них не получилось какого-то парадокса)
Утверждение Та>Тв+Тс ложное, потому что не вытекает ни из теории СТО (а как раз наоборот опровергает эту теорию) ни уж тем более из эксперементальных данных (не существует ни одного эксперимента в котором был бы хотя бы намек на это; не веришь? ну давай любой эксперимент, разберем его до винтиков, убедимся что в нем на самом деле получилось Та=Тв+Тс)
Короче если Та>Тв+Тс, то СТО содержит внутреннее противоречие. Это автоматически так, как 2+2=4. За сто лет кто-то смог хоть раз доказать что в СТО есть внутренние противоречие? — вот то-то и оно, сам делай вывод.

#67312 kos1kos :#67310 Alex1945 :Релятивисты утверждают, что Та>Тв+Тс вытекает из экспериментальных данных, т. е. М-М и поведения быстродвижущихся элементарных частиц.
Ложь. Такую фантастическую глупость придумали люди которые не разобрались в СТО, но при этом уверовали что разобрались, наивно и необоснованно считают себя знатоками этой теории. (Кстати ни одной задачи-то с помощью СТО они не могут решить так, чтобы у них не получилось какого-то парадокса)
Такую глупость придумали создатели СТО и авторы учебников, которые необосновано позаимствовали из другой (эфирной) теории ПЛ, которые у Лоренца не обеспечивали ПО.
Утверждение Та>Тв+Тс ложное, потому что не вытекает ни из теории СТО (а как раз наоборот опровергает эту теорию) ни уж тем более из эксперементальных данных (не существует ни одного эксперимента в котором был бы хотя бы намек на это; не веришь? ну давай любой эксперимент, разберем его до винтиков, убедимся что в нем на самом деле получилось Та=Тв+Тс)
А вот релятивисты утверждают, что Та>Тв+Тс вытекает из экспериментальных результатов М-М и поведения быстродвижущихся элементарных частиц в ускорителях. Но Вы правы, что Та>Тв+Тс противоречит СТО, так как нарушает первый постулат СТО, который требует как раз Та=Тв+Тс. Кстати, это и есть физический смысл парадовкса часов.
Короче если Та>Тв+Тс, то СТО содержит внутреннее противоречие. Это автоматически так, как 2+2=4.
Именно наличие внутренних противоречий я и пытаюсь продемонстрировать в своих постах. Именно такой вывод и сделал я!
За сто лет кто-то смог хоть раз доказать что в СТО есть внутренние противоречие? — вот то-то и оно, сам делай вывод.
Что сто лет для человечества — миг! Вот Земля держалась на трех китах, может, не одну тысячу лет, и куда эти киты делись! Но Галилею досталось, видимо, за неподчтенное отношение к этим китам!

#67258 Alex1945 :#67248 zam :#67093 Alex1945 :И если Вы назовете СТО подразделом классической физики, то это не устранит ее противоречия (парадоксы).
Не я её так называю. Просто она таковой является по определению. А противоречий (парадоксов) в СТО нет.
Вы еще не доказали отсутствие противоречий в парадоксе трех часов в соседней теме «Парадокс собственного хода трех часов. Схема Смородинского».
Доказал расчётом.
Да и я еще не встретил внятного доказательства отсутствия противоречий в классическом варианте парадокса часов.
Вы встречали многократно, да вот только вы не можете понять доказательства.
Может, дадите ссылку на вариант, объясняющий отсутствие противоречий в этом парадоксе в рамках СТО?
Смотрите решение задачи.
А то мне больше встречалось признание, что этот парадокс легко объясняется в ОТО, а ведь этот парадокс именно СТО, заключающийся в противоречии релятивистского замедления времени первому постулату СТО.
Привлекать тут ОТО — «это стрелять из пушки по воробьям».
В этой теме исходный пост как раз и говорит о противоречиях ПЛ.
Нет. Исходный пост говорит только о том, что вы не способны понимать написанное в учебниках.
Как измерить vабс — абсолютную скорость движения инерциальной системы отсчёта К'?
По разнице скорости света в разных направлениях, которую можно измерить по часам, синхронизированных с абсолютной одновременностью.
Эксперименты показывают, что скорость света одинакова во всех направлениях (наблюдения и опыты Рёмера, Физо...). И для этого не нужна пара синхронизированных часов. Достаточно одних часов.
Как измерить с — скорость света в вакууме, эфире?
Используя первый постулат СТО, согласно которому часы во всех ИСО идут одинаково.
Что таоке «абсолютное пространство»?
По Ньютону, абсолютное пространство — вместилище материальных тел.
А по-современному?
Как сторонник СТО Вы должны доказать, что ПЛ в СТО используются обоснованно.
Сто раз показано и без меня.
Доказано, но, видимо, не окончательно. В противном случае хватило бы и одного доказательства. Вот эта тема говорит о наличии некоторых сомнений в доказанности Ваших утверждений.
Вы же ни одного доказательства понять не способны. Зачем вам много?
Вы должны показать, почему недостатки и противоречия ПЛ в ТЭЛ не распространяются на СТО.
Я ничего не знаю про противоречияПЛ в ТЭЛ. А в СТО противоречий нет.
Если в СТО позаимствовали ПЛ из ТЭЛ без изменений, то противоречия ТЭЛ перешли в СТО.
В СТО преобразования Лоренца не заимствованы. Они строго математически выведены из постулатов.
Вы уже разобрались с выводом? Вы нашли ошибки в этом выводе?
Так вы же ничего не знаете по этому вопросу. Потому что не читаете учебников. Как же вы можете иметь по этому поводу собственное мнение??
Все мои сомнения в корректности ПЛ в СТО и ТЭЛ как раз и почерпнуты из учебников. И аргументы, обосновывающие мои сомнения, приведены в этой теме.
Читаете? Значит не понимаете прочитанного. Есть такая болезнь — дислексия.
Тогда объясните, почему движущиеся часы отстают от неподвижных? Какова физическая причина этого отставания?
Не отстают. Потому что для отставания нет причины.
Следовательно, нет причины и отвергать приведенный выше способ абсолютной синхронизации.
Есть. Эта причина — относительность одновременности.

#67300 kos1kos :Вычитал тут мысль «СТО это подраздел классической физики». Странное утверждение.
Чего же тут странного. Физика делится на два больших раздела — физика классическая и физика квантовая. Квантовая — это та, в которой постоянная Планка не может считаться пренебрежимо малой величиной. Классическая — наоборот. Вы где-нибудь в СТО/ОТО встресали постоянную Планка?
По мне так вроде ровно наоборот «классическая физика это частный случай СТО для малых относительных скоростей».
Не «классическая физика», а механика Ньютона-Лагранжа.
Счас дам свое философское толкование.
Делайте это, пожалуйста, на философких форумах. А тут про науку.
В случае с задачей про трое часов Александра.
Так решите задачку. Без философствования (то есть без пустомельства).

#67312 kos1kos :Кстати ни одной задачи-то с помощью СТО они [разбирающиеся в СТО] не могут решить так, чтобы у них не получилось какого-то парадокса)
Ложь. Просто вы решений понять не способны.

#67320 zam :#67300 kos1kos :В случае с задачей про трое часов Александра.
Так решите задачку. Без философствования (то есть без пустомельства).
я его эту задачу про трое часов решил уже несколько месяцев назад, на другой площадке, на форуме звездочетов. Александ в курсе. Дублировать здесь не вижу смысла.





Эффективное поперечное сечение имеет