Механика, ЗСИ

Добрый вечер! Имеется задача: шар и конус(задача рассматривается в плоскости диаметрального сечения конуса и шара, поэтому конус можно принять за двугранный угол) движутся навстречу друг другу с заданными скоростями. массу конуса считать бесконечно большой, угол раствора дан.
ну и соответственно дано, найти, итд итп. все элементарно. стал расписывать закон сложения скоростей и закон изменения импульса в проекциях и оказалось, что Vk и V'k выходят равными нулю, хотя по идее не должны. штрихи обозначают вектора относительно конуса. поэтому вопрос: где я мог допустить ошибку в своих рассуждениях или понимании физики процесса?

3361 сообщенийhttp://alexandr4784.narod.ru/
Откуда: Псков
Кто: книгоиздательство
Поскольку масса конуса бесконечно большая, надо скорость конуса перенести на шар и конус считать неподвижным. Можно связать с конусом и инерциальную систему отсчета. Можно просто свести задачу к удару шара с неподвижным конусом. Скорость конуса до и после удара считаем нулевой. Можно даже свести задачу к удару шара о стену под заданным углом.

да это все как раз не так сложно. просто я хочу именно вычленить ошибку или упущение

3361 сообщенийhttp://alexandr4784.narod.ru/
Откуда: Псков
Кто: книгоиздательство
Так надо было привести выкладки.

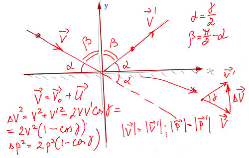
Полная формулировка: "Гладкая частица сферической формы массой m, которую можно рассматривать как материальную точку, ударяется со скоростью V0 о гладкую массивную преграду, которая движется со скоростью U=const. Угол, образованный векторами V0 и U, равен β. Массу преграды считать бесконечной."
Данный чертеж:
Даны m, V0, угол раствора. Найти Собственную скорость шара после столкновения, угол между вектором этой скорости и конусом, изменение скорости, энергии и импульса, а так же модуль импульса силы.
Вот, как предполагал я (альфа-к и альфа-к' это угол между U и Vk или Vk' соответственно):
Оси X вдоль оси конуса

3361 сообщенийhttp://alexandr4784.narod.ru/
Откуда: Псков
Кто: книгоиздательство
Посмотрю завтра утром
Добавлено спустя 3 часа(ов) 16 минут
А удар упругий или нет. Как искать модуль импульса силы, если неизвестен способ взаимодействия шара и конуса. я бы связал систему отсчета с конусом, так его импульс имеет бесконечное значение и работать с ним нельзя и рассмотрел бы задачу об ударе шара о стену под углом \(\beta=\frac{\pi-\gamma}{2}\)
Ясно, что модули скоростей и импульсов до и после удара одинаковы и найти их разность легко, построив треугольник скоростей (или импульсов) и применив теорему косинусов. Энергия сохраняется.
Добавлено спустя 14 минут

отредактировал(а) iskander: 2015-02-25 09:52 GMT

Удар абсолютно упругий и задачу надо бы решить в том виде, как она есть. Суть в том, что я не понимаю, почему так странно расписывается закон изменения импульса для шара(последняя запись в моем решении)
хотя, возможно, я увидел ошибку. сила взаимодействия должна же быть перпендикулярна поверхности конуса?
отредактировал(а) Hearteater: 2015-02-25 17:23 GMT

3361 сообщенийhttp://alexandr4784.narod.ru/
Откуда: Псков
Кто: книгоиздательство
Даже если расписывать закон сохранения импульса в лабораторной системе отсчета, надо учесть, что импульс конуса бесконечно большой и он не меняется в процессе столкновения, т. е. в правой и левой части равенства будут стоять одинаковые импульсы конуса и они сократятся и останется
\(m\vec V_0+M\vec U=m\vec V{'}+M\vec U\)
\(m\vec V_0=m\vec V{'}\), откуда сразу следует равенство модулей.

это куда проще следует из закона сохранения энергии. но надо еще как-то выйти на углы, а для этого приходится брать проекции, с которыми все не так то гладко выходит

3361 сообщенийhttp://alexandr4784.narod.ru/
Откуда: Псков
Кто: книгоиздательство
Упругий удар - угол отражения равен углу падения и, поскольку, скорость конуса не меняется, ищем только скорость шара после отражения. Одно неизвестное - одно уравнение - закон сохранения импульса. Закон сохранения механической энергии для решения данной задачи не нужен. Углы я нарисовал.
Вы что-то сильно усложняете, но это ваше дело.
