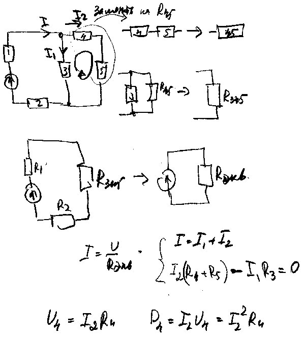
Определить мощность резистора
Резистор 4
Автор
Сообщение

Помогите пожалуйста найти мощность резистора 4. Если не тяжело, объясните что и как делали вкратце.


3361 сообщенийhttp://alexandr4784.narod.ru/
Откуда: Псков
Кто: книгоиздательство

