Теория цепей

Здравствуйте, помогите пожалуйста разобраться с задачкой. На практике не разбирали подобных задачек ,но разобраться надо. Ведь сдавать все-таки.
Векторные диаграммы токов и напряжений показаны на рис.1 (это первое фото). Амплитуда S_(m1) относится к сопротивлению R , а амплитуда S_(m2) - к реактивному элементу ( индуктивности L или емкости C). Дугой и точкой обозначен прямой угол.
Слева векторная диаграмма напряжений, справа- токов.
В задании требуется:
1. Построить схему цепи, соответствующую векторной диаграмме 1.
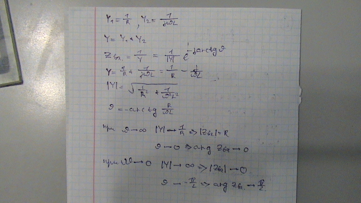
2. Определить копмплексное входное сопротивление цепи. Указать, чему равен модуль и аргумент входного сопротивления при частоте w стремящейся к бесконечности (w->@@) и при w->0 .
3. Построить схему цепи, соответствующую векторной диаграмме 2.
4. Определить копмплексное входное сопротивление цепи. Указать, чему равен модуль и аргумент входного сопротивления двухполюсника при частоте `w->@@` и `w->0`.

Если физики стали тормозить, что тогда делать блондинкам?
Если ни то, ни другое, ни третье не помогает, прочтите, наконец инструкцию.

Блондинкам об стену головой биться и желательно посильнее. А физикам, свойственно ошибаться. Бывает, что и физики моментами тормозят.
Можно решить сложную задачу, а легкую не решить. Всякое бывает в жизни. На ошибках учатся , тем более на начальном этапе пути .
К чему этот вопрос был??? Типо прикола чтоли или что???

Вот есть такой сайт http://fizmatbank.ru/


18499-1363371870_1_1.jpg